您的位置:首页 > 资讯 > 无人汽车 > 行业资讯 > 正文

自动驾驶新突破:阿里达摩院实现 3D 物体检测精度与速度兼得

2020-03-21 19:24 性质:转载 作者:Chenhang He 来源:InfoQ网站
免责声明:无人系统网(www.youuvs.com)尊重合法版权,反对侵权盗版。(凡是我网所转载之文章,文中所有文字内容和图片视频之知识产权均系原作者和机构所有。文章内容观点,与本网无关。如有需要删除,敬请来电商榷!)
作者:Chenhang He,第一作者,达摩院研究实习生IEEE Fellow 华先胜,达摩院高级研究员 IEEE Fellow 张磊,达摩院高级研究员、香港理工大学...

作者:Chenhang He,第一作者,达摩院研究实习生

IEEE Fellow 华先胜,达摩院高级研究员           IEEE Fellow 张磊,达摩院高级研究员、香港理工大学电子计算学系讲座教授           黄建强,达摩院资深算法专家           Hui Zeng,达摩院研究实习生近期,阿里巴巴达摩院的一篇论文入选计算机视觉顶会 CVPR 2020,该论文提出了一个通用、高性能的自动驾驶检测器,首次实现 3D 物体检测精度与速度的兼得,有效提升自动驾驶系统安全性能。

达摩院自2017年成立起,就致力于探索科技未知,以人类愿景为驱动力,开展基础科学和创新性技术研究。随着CVPR2020入选论文的曝光,一篇来自达摩院关于自动驾驶的文章被录用,该论文提出了一个通用、高性能的自动驾驶检测器,首次实现3D物体检测精度与速度的兼得,有效提升自动驾驶系统安全性能。目前,该检测器在自动驾驶领域权威数据集KITTI BEV排行榜上排名第一。世界上“最聪明的大脑”是如何解决物体检测难题的?

KITTI BEV排行榜,达摩院位居第一

3D 目标检测需输出物体类别及在三维空间中的长宽高、旋转角等信息与普通的 2D 图像识别应用不同,自动驾驶系统对精度和速度的要求更高,检测器不仅需要快速识别周围环境的物体,还要对物体在三维空间中的位置做精准定位。然而,目前主流的单阶段检测器和两阶段检测器均无法平衡检测精度和速度,这极大地限制了自动驾驶安全性能。此次,达摩院在论文中提出了新的思路即将两阶段检测器中对特征进行细粒度刻画的方法集成到单阶段检测器。具体来说,达摩院在训练中利用一个辅助网络将单阶段检测器中的体素特征转化为点级特征,并施加一定的监督信号,同时在模型推理过程中辅助网络无需参与计算,因此,在保障速度的同时又提高了检测精度。以下是第一作者 Chenhang He 对该论文做出的解读:

01

背  景

目标检测是计算机视觉领域的传统任务,与图像识别不同,目标检测不仅需要识别出图像上存在的物体,给出对应的类别,还需要将该物体通过 Bounding box 进行定位。根据目标检测需要输出结果的不同,一般将使用 RGB 图像进行目标检测,输出物体类别和在图像上 2D bounding box 的方式称为 2D 目标检测。而将使用 RGB 图像、RGB-D 深度图像和激光点云,输出物体类别及在三维空间中的长宽高、旋转角等信息的检测称为 3D 目标检测。

从点云数据进行 3D 目标检测是自动驾驶(AV)系统中的的关键组件。与仅从图像平面估计 2D 边界框的普通 2D 目标检测不同,AV 需要从现实世界估计更具信息量的 3D 边界框,以完成诸如路径规划和避免碰撞之类的高级任务。这激发了最近出现的 3D 目标检测方法,该方法应用卷积神经网络(CNN)处理来自高端 LiDAR 传感器的点云数据。目前基于点云的 3D 物体检测主要有两种架构:1、单阶段检测器 (single-stage): 将点云编码成体素特征 (voxel feature), 并用 3D CNN 直接预测物体框, 速度快但是由于点云在 CNN 中被解构, 对物体的结构感知能力差, 所以精度略低。2、两阶段检测器 (two-stage): 首先用 PointNet 提取点级特征, 并利用候选区域池化点云 (Pooling from point cloud) 以获得精细特征. 通常能达到很高的精度但速度很慢。

02

方  法

目前业界主要以单阶段检测器为主,这样能保证检测器能高效地在实时系统上进行。我们提出的方案将两阶段检测器中对特征进行细粒度刻画的思想移植到单阶段检测中,通过在训练中利用一个辅助网络将单阶段检测器中的体素特征转化为点级特征,并施加一定的监督信号,从而使得卷积特征也具有结构感知能力,进而提高检测精度。而在做模型推断时,辅助网络并不参与计算(detached), 进而保证了单阶段检测器的检测效率。另外我们提出一个工程上的改进,Part-sensitive Warping (PSWarp), 用于处理单阶段检测器中存在的 “框 - 置信度 - 不匹配” 问题。

主体网络

用于部署的检测器, 即推断网络, 由一个骨干网络和检测头组成。骨干网络用 3D 的稀疏网络实现,用于提取含有高语义的体素特征。检测头将体素特征压缩成鸟瞰图表示,并在上面运行 2D 全卷积网络来预测 3D 物体框。

辅助网络

在训练阶段,我们提出一个辅助网络来抽取骨干网络中间层的卷积特征,并将这些特征转化成点级特征 (point-wise feature)。在实现上,我们将卷积特征中的非零信号映射到原始的点云空间中, 然后在每个点上进行插值,这样我们就能获取卷积特征的点级表示。令 {():j=0,…,M} 为卷积特征在空间中的表示, {:i=0,…,N}为原始点云, 则卷积特征在原始点上的表示 等于

辅助任务

我们提出两种基于点级特征的监督策略来帮助卷积特征获得很好的结构感知力, 一个前景分割任务, 一个中心点回归任务。

具体来说,相比于 PointNet 特征提取器 (a), 卷积网络中的卷积操作和下采样会造成点云结构的破坏 (b)使得特征对物体的边界与内部结构不敏感。我们利用分割任务来保证部分卷积特征在下采样时不会被背景特征影响 ©,从而加强对边界的感知。我们利用中心点回归任务来加强卷积特征对物体内部结构的感知能力 (d),使得在少量点的情况下也能合理的推断出物体的潜在大小,形状。我们使用 focal loss 和 smooth-l1 对分割任务与中心回归任务分辨进行优化。

03

工程上的改进

在单阶段检测中, feature map 和 anchor 的对齐问题是普遍存在的问题, 这样会导致预测出来的边界框的定位质量与置信度不匹配,这会影响在后处理阶段(NMS)时, 高置信度但低定位质量的框被保留, 而定位质量高却置信度低的框被丢弃。在 two-stage 的目标检测算法中,RPN 提取 proposal,然后会在 feature map 上对应的的位置提取特征(roi-pooling 或者 roi-align),这个时候新的特征和对应的 proposal 是对齐的。我们提出了一个基于 PSRoIAlign 的改进,Part-sensitive Warping (PSWarp), 用来对预测框进行重打分。如上图, 我们首先修改最后的分类层以生成 K 个部分敏感的特征图,用{X_k:k = 1,2,…,K}表示,每个图都编码对象的特定部分的信息。例如,在 K = 4 的情况下,会生成 {左上,右上,左下,右下} 四个局部敏感的特征图。同时,我们将每个预测边界框划分为 K 个子窗口,然后选择每个子窗口的中心位置作为采样点。这样,我们可以生成 K 个采样网格{S^k:k = 1,2,…,K},每个采样网格都与该局部对应的特征图相关联。如图所示,我们利用采样器, 用生成的采样网格在对应的局部敏感特征图上进行采样,生成对齐好的特征图。最终能反映置信度的特征图则是 K 个对齐好特征图的平均。

04

效  果

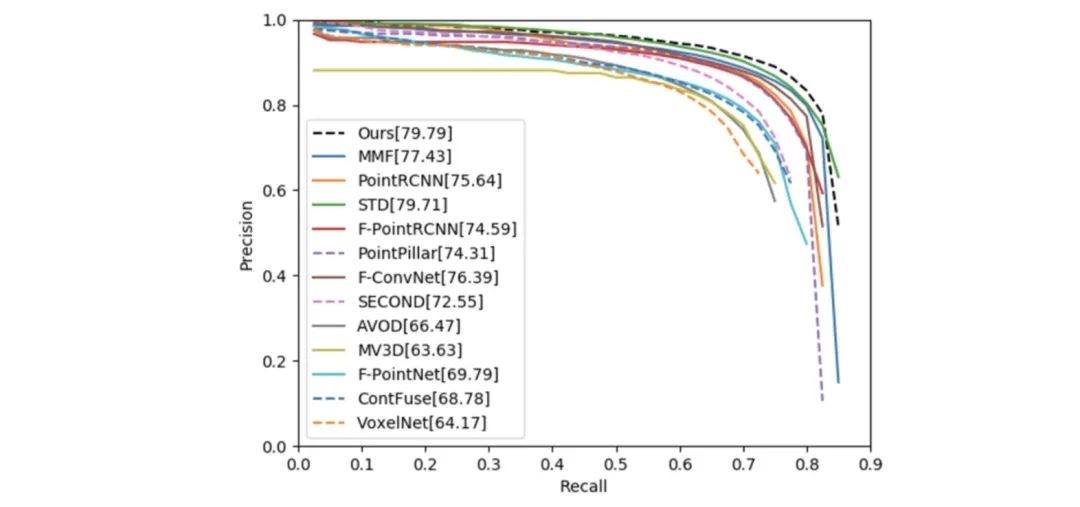
我们提出的方法 (黑色) 在 KITTI 数据库上的 PR Curve, 其中实线为两阶段方法, 虚线为单阶段方法。可以看到我们作为单阶段方法能够达到两阶段方法才能达到的精度。

在 KITTI 鸟瞰 (BEV) 和 3D 测试集的效果。优点是在保持精度的同时,不增加额外的计算量,能达到 25FPS 的检测速度。

网友评论
文明上网,理性发言,拒绝广告

相关资讯

热点资讯
推荐图文

关注官方微信

手机扫码看新闻