算法改进过程如下(n个阅读器,m个参考标签和u个待定位标签):
(1)分别获得u个带定位标签关于n个阅读器的信号强度矩阵:
S=S11 … S1u… … …Sn1 … Snu(1)
再获得包围待拣选货物的矩形定点上的4个参考标签(分别编号为a、b、c、d)关于n个阅读器的信号强度矩阵:

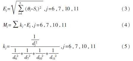
(2)如图3所示,当需要拣选的货物位置在⑥、⑦、⑩、{11}参考标签围成的方框区域内时,分别使用6、7、10、11号参考标签为邻居标签,利用式(3)得到所有以6、7、10、11号参考标签为邻居标签与待测标签的值,即为其欧式距离。根据参考标签离需拣选货物的距离关系,由式(4)选取Mj值最小的前K(1≤K≤u)个待测标签,表示这K个标签离需选取的货物位置相对较近。其中,kj由式(5)获得,其中di对应图2中的距离。

(3)通过式(6)求得选取的该K个待测标签的坐标(x,y):

(4)得到这4个点的坐标后,利用式(7)求出e最小的点,即离(x0,y0)最近的待测标签,其中,(x0,y0)为需选取货物的坐标,选择该最近的待测标签(操作员)为接收拣选命令的操作员。

5 实验结果分析
按照图2实验布局,每一排中相邻两参考标签之间距离为2 m,每两排之间距离为1.5 m。约定当系统选择离待拣选货物最近最方便的操作员完成拣选任务即为此次定位正确。通过大量实验得到,当K<5时,随着K的增大选取最近待测标签的准确率提高;当K≥5时,随着K值的增加选取最近待测标签的准确率只存在微弱波动,而K值的增加带来额外的计算。因而,K=5时系统性能最佳。
取K=5,实验得到算法改进前后选取最近操作员正确率对比图如图3所示。其中,横坐标对应图2中待拣选货物的序号,纵坐标为选取操作员的正确率。

从图3可以看出,改进算法较原来的LANDMARC算法准确率有所提高。而且,实验中定位错误时选择的操作员的位置与在实际离待拣选货物最近的操作员位置相邻近。因而,系统定位准确率能达到拣选定位要求。
分析结果数据可知,对于2、4号待拣选货物定位选择操作员准确率明显提升。以4号待拣选货物为例,从系统布局示意图可以看出,与4号待拣选货物距离相对较近的有a、b、c位操作员,由无线电波在室内传播模型分析,相对于带定位标签a、b,带定位标签c由于与货物4周围的14、15、18、19号参考标签在同一条走廊上,因而路径损耗相近,系统定位时更容易选择c为最近操作员。由此可得,当操作员与待拣选几何距离相近时,改进算法能够选择相同走廊上的操作员完成拣选工作,而避免选择与待拣选货物不在相同走廊上的操作员而走远距离完成拣选任务的情况,从而提高拣选效率。
6 结论
本文设计了基于室内定位的仓储语音拣选系统,系统使用ICRoute公司设计生产的V280语音识别标准模块,完成语音命令的下达与识别。为提高拣选操作员调度效率,系统以LANDMARC室内定位算法为基础,以语音拣选仓库为实际应用目标,对室内定位算法进行应用改进,与原始LANDMARC算法相比较改进后的算法定位精度提高2%~60%,实用性更强。该系统具有较好的市场应用前景。
2025-08-26 13:57
2022-12-30 23:04
2022-12-23 20:50
2022-12-20 19:49
2022-12-16 14:32
2022-12-06 19:26
2022-11-29 19:30
2022-11-28 18:34
2022-11-25 17:49
2022-11-01 15:40