您好,
欢迎访问
无人系统网
!
帐号管理
收藏夹
退出
消息
0
请登录
免费注册
手机关注
微信号:youuvs
关注官方微信
m.youuvs.com
手机扫码看新闻
我的办公室
销售
发布产品
管理产品
求购
发布求购
管理求购
添加收藏
关于我们
广告服务
广告服务
关键词排名
会员升级
帮助中心
常见问题
买家帮助
卖家帮助
问题反馈
网站导航
资讯
公司
产品
品牌
采购
展会
视频
资讯
资讯
公司
产品
品牌
采购
展会
视频
搜索
发布询价单
首页
资讯
公司
产品
品牌
采购
展会
视频
地图
工业机器人
服务机器人
特种机器人
军事机器人
无人船
无人汽车
无人机
人工智能
物联网
前沿技术
无人系统
工业机器人
服务机器人
特种机器人
军事机器人
无人船
无人地面车辆
无人汽车
无人机
人工智能
物联网
前沿技术
您的位置:
首页
>
资讯 搜索
关键字:
传感器
(
共
298
条|
13
/
20
页
)
首页
资讯
行业专家
排序方式
按时间
按人气
最新资讯
我网原创
视频资讯
展会资讯
公司动态
新品上市 | AS30系列纠偏
传感器
上市啦!
随着当今各个行业对于纠偏应用的需求日渐丰富多样,今天小西向各位隆重推荐SICK新一代的多功能纠偏
传感器
AS30系列!边缘检测型功能 ①:外...
企业动态
作者:产品部
2019-08-29 10:06
如何实现轮廓对比的精准检测?视觉
传感器
来支招
1. 应用挑战在汽车生产中,车身通过滑撬运送到不同工位,车身上特别设计的锚孔使得车身能够固定在滑撬螺栓上面。如果螺栓没有正好插进锚孔,车身可能会从滑撬...
企业动态
作者:P+F
2019-08-17 15:00
【泡泡
传感器
评测】小觅双目摄像头D1000-IR-120/Color模组评测(下)
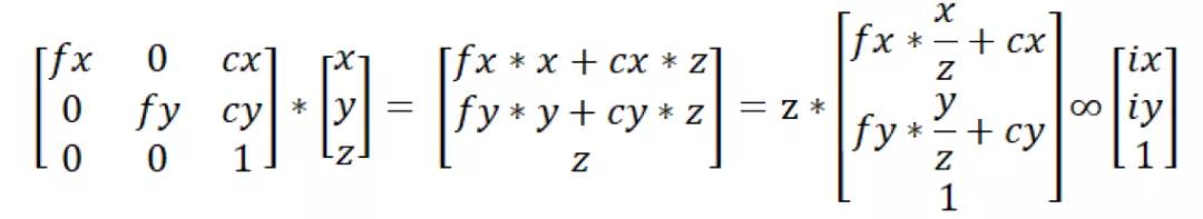
分析camera的参数每个相机镜头都有不同的参数, 因此针对每个镜头都需要做光学标定. 首先需要对镜头进行参数建模,分投影模型和畸变模型, 投影模型我们选用比较通用的pin...
企业动态
作者:paopaoslam
2019-08-17 14:55
AGV到AMR从
传感器
导航层面看移动机器人发展新趋势
物流仓储,是中国经济增长最快的领域之一。谈到仓储物流相信绝大多数行业人员会第一时间想到的是仓储热门“明星”AGV。下面工采网小编和大家一起通过文本从传...
行业资讯
作者:ISweek工采网
2019-08-13 11:08
【泡泡
传感器
评测】小觅双目摄像头D1000-IR-120/Color模组评测(中)
欢迎
传感器
厂商联系我们,这里既是一个评测平台,也是一个宣传平台。希望您能够通过泡泡机器人的"
传感器
评测"栏目,发布给合适的目标用户群。同时,也希望我们在评测过程中,为传感...
企业动态
作者: paopaoslam
2019-08-07 14:47
【泡泡
传感器
评测】小觅双目摄像头D1000-IR-120/Color模组评测(上)
在本次评测过程中,泡泡机器人的评测人和
传感器
厂商的技术人员进行了充分的沟通。
传感器
厂商表示,在沟通过程中,为小觅双目摄像头提供了很多有用的建议,使得小觅双目摄像头在未来...
企业动态
作者:paopaoslam
2019-08-07 14:39
很多网友工程师想看磁导航
传感器
,今天TA来了
很多工程师留言想看磁导航
传感器
今天他来了磁导航,作为AGV主流的导航方式之一为AGV发展立下赫赫战功被誉为“导航一号”你看他小巧修长,利剑出鞘...
企业动态
作者:兴颂机器人
2019-08-06 15:21
很多工程师留言想看激光扫描
传感器
,今天TA来了
很多网友工程师留言想看激光扫描
传感器
,今天他来了。激光扫描
传感器
,不仅是AGV核心部件,更是运行前方障碍物唯一的检测部件;被誉为“安全一...
企业动态
作者:兴颂机器人
2019-08-02 16:51
突破!机器人中
传感器
都能3D打印了!
研究人员表示与坚固的机器人比起来,柔软机器人更灵活,能够更安全地与人类一起工作。而通过商业3D打印技术和改良材料,该团队可使用完全集成的
传感器
打印机器人肢体和夹具。&em...
行业资讯
作者:中国智能化网
2019-08-02 11:04
面向 CEP 分销中心的自动导引运输车完整
传感器
解决方案
伴随着对定制化、灵活内部物流解决方案的需要,工业 4.0 越来越多地应用于信件,快递,包裹和邮政(CEP)行业。经过实践证明:自动导引运输车和牵引车是行之有效的传送设备,可替代传统物...
企业动态
作者:德国西克SICK
2019-08-01 10:46
SmartRunner视觉
传感器
实现汽车装配中紧固件的可靠检测
1、应用挑战在车架装配中,零件一步步拼装在一起形成底盘。在生产过程的各个阶段,关键紧固件如螺栓、螺丝、夹子和消隐塞的存在都必须检查验证。安装在防滑...
企业动态
作者: P+F
2019-07-27 15:17
工程机械界的“小钢炮”——IMS接近
传感器
接下来就让小西,给大家好好科普一下:工程机械行业的使用环境是公认的极其严苛恶劣。在这个行业,我们所能想到的破坏性因素都有可能会遇到:...
企业动态
作者:产品部
2019-07-16 06:56
汽车制造业中的“小身材大智慧” | 倍加福R20X光电
传感器
作为汽车行业知名的供应商,倍加福历来享有盛誉。倍加福公司始终致力于为汽车整车及零部件制造业打造完善的自动化解决方案,我们的产品已广泛地应用于亚洲,欧洲,北美洲各大汽车生...
企业动态
作者:P+F
2019-07-12 14:46
SICK亚太运营中心 (浙江西克
传感器
有限公司),强势而来!
2019年6月14日,SICK亚太运营中心(浙江西克
传感器
有限公司)于嘉兴综合保税区举办了盛大的开业仪式。作为SICK在亚太地区首个实体投资项目,该项目总投资1,000万美元,占地6,600平方...
企业动态
作者:德国西克SICK
2019-07-04 10:29
小觅智能庞琳勇:双目相机将是未来
传感器
发展的新趋势
6月21日,中国「智能感知与
传感器
融合应用技术高端研讨会」圆满落幕。此次会议由睿慕课主办,上海珍为科技有限公司承办,阿里巴巴创新中心(上海张江)基地、浦东国际人才发展中心协...
行业资讯
作者:小觅智能
2019-06-24 17:23
共
298
条|
13
/
20
页
首页
上一页
11
12
13
14
15
下一页
末页
热点资讯
1
卢森堡加码自动驾驶卡车:争做欧洲干线物流新枢纽
2
全球生成式人工智能监管加速:从“原则框架”走向“可执行义务”
3
世界头部商超 I 台湾仓库里的 “小黄人”:让低温仓的夜班,终于不用硬扛了
4
博伦思导航 | 重磅发布:双光地景匹配+MEMS惯性组合导航系统
5
中国AOPA与内蒙古民航机场集团公司 签订战略合作协议
6
“零尾排”不等于“低排放”,为何氢燃料电池在部分情境下可能比柴油更“高排放”?
7
深耕时尚8年,快仓如何用机器人“熨平”物流褶皱,赋能品牌增长?
8
Galbot获超3亿美元融资:具身智能迈向规模化部署
9
无人机、柴油与政策:两个国家,两种农业未来
推荐图文
视频资讯
更多>>
MiR 2021 | 一睹MiR全球团队风采
原材料储存 | 实现整个制造和仓库环境中的物料运输工作流程自动化
李德仁院士莅临立得空间考察指导
无人车在展台上动起来?探秘行深智能2021世界人工智能大会
镭神智能3D SLAM高精度AGV导航方案最新突破--达到毫米级业界新高度
超声波技术系列【一】| 工作原理
最新资讯
更多>>
喜报丨AiTEN入选苏州知识产权成长型企业!
凯乐士中东首秀丨东方智造点亮“沙漠”智慧物流新未来
【喜报】苏州中飞遥感技术服务有限公司入选江苏省首批数据企业培育库
驼航科技领投方金雨茂物和元航资本上榜航空航天投资机构20强
重大消息!优必选拟以16.65亿收购锋龙股份
中科云图获评央广财经2025年度“金顶”优秀案例
时代星光与世家炫彬签署战略合作协议,共创低空经济新篇章
哈曼拟以15亿欧元收购采埃孚ADAS业务
关注官方微信
手机扫码看新闻