您的位置:首页 > 资讯 > 无人机 > 正文

固定翼无人机航程航时知多少

2020-09-07 11:37 性质:转载 作者:Y.G.T 来源:成都纵横自动化技术股份有限公司
免责声明:无人系统网(www.youuvs.com)尊重合法版权,反对侵权盗版。(凡是我网所转载之文章,文中所有文字内容和图片视频之知识产权均系原作者和机构所有。文章内容观点,与本网无关。如有需要删除,敬请来电商榷!)

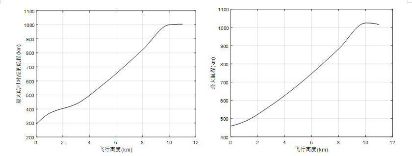
以某小型电动无人机为例,图6给出了不同飞行速度、不同飞行高度下飞机的平飞需用推力曲线,说明不同高度、不同速度飞机所受阻力不同。图7至图9分别给出了航时、巡航时间(稳定平飞作业段)和有效巡航里程(稳定平飞作业段)随飞行高度和速度的变化规律。对于电动小型无人机,随着高度增加,飞机的航时和航程均减小;随着速度的增加,飞机的航时和航程先增加,后减小,航时最大出现在平飞需用推力(平飞阻力)最小的速度点;航程最大的速度点略高于航时最大的速度点。图10给出理论计算结果与实际试飞结果的对比,也可证明规律的正确性。

需说明的是,图6至图9的数据,飞机起飞高度均为海拔高度0米。对于小型电动无人机来说,爬升阶段耗电量较大,过高的爬升距离会对航程和航时产生一定的不利影响。

大气温度湿度

大气温度和湿度对于无人机飞行的影响规律基本是相同的。温度湿度越高,空气密度越小,螺旋桨产生的推力越小,相同飞行条件,需要提高螺旋桨转速,弥补推力损失,所以发动机的功耗增大,导致无人机续航性能下降;反之提高。因此,一般干燥的冬季飞行,无人机续航性能较好,夏季较差。

飞行中的机动动作

飞行中小半径转弯盘旋、速度的快速变化、高度的快速增加均会引起无人机的阻力和发动机能耗的增加,导致无人机飞行时间和飞行距离减小。

风的影响

影响无人机续航性能的风包括持续稳定的风和阵风。

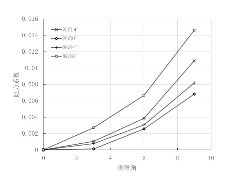
与无人机飞行速度方向平行(顺风和逆风)的稳定风不会对无人机的航时产生影响。与无人机飞行方向有一定夹角的风会降低无人机的续航性能。无人机保持航行不变的飞行中,遇到不平行于无人机飞行方向的风时,会使无人机的空速与无人机对称面之间形成一个夹角,该夹角称为侧滑角(如图11),带有侧滑角的飞行时,无人机的阻力会随侧滑角的增加而增加(如图12),导致无人机发动机的能耗增加,降低无人机的续航性能。

图11 侧滑角定义

图12  无人机阻力随侧滑角的变化

阵风(突风、乱流)使无人机的指令飞行状态改变,自动驾驶仪会调整无人机发动机和操纵舵面以保持无人机的指令飞行状态,以克服阵风对飞行的影响,该过程需要额外的消耗能量,这也增加了无人机发动机的能耗,降低无人机续航性能。

电池寿命

对于电动无人机,电池的使用环境、使用充放电循环次数也会影响到电池的放电量,进而影响无人机的续航性能。

一般,锂电池合适的使用环境温度在20℃~40℃,此时,其放电量最大;随着温度的降低,电池放电量减小(如图13)。无人机空中飞行时,大气温度较低,若使用未进行保温措施,无人机的续航性能有所降低。

图13 某电池电量放电量与温度和倍率的关系

随着电池的充放电循环次数增加,电池的电容留存率逐渐减小(如图14),电池飞行中可用电量减小,导致无人机续航性能降低。

图14 某电池充放电循环次数与容量留存率关系

提高航程航时措施有多少

无人机飞行中的航程航时影响因素众多。对于无人机飞手或无人机作业操作人员来讲,最关心的可能就是怎样飞出最佳航程和航时,以提高作业效率。通过前面航程航时影响因素的分析,可以有以下提高航程和航时的措施:

选择合理的飞行高度,尽量接近无人机的久航高度或远航高度。

根据任务需求,明确任务需要的是长航时还是长航程;若需要长航时,选择久航速度为飞行速度;若需要长航程,选择远航速度为飞行速度。一般远航速度略大于久航速度。无人机设计厂商一般给出的巡航速度为无人机的久航速度。

图15  两种航程对比

合理规划飞行航线,尽量减小在作业过程中的小半径转弯,飞行高度和速度的快速增加等机动。

如果条件允许,可选择气流平稳,温度较低的时间进行无人机作业。

注意电池养护及合理使用。

12下一页
热点资讯
推荐图文

关注官方微信

手机扫码看新闻