储存货物的空间叫储存空间,储存是仓库的核心功能,储存区域规划的合理与否直接关系仓库的作业效率和储存能力。
在进行仓储区域的空间规划时,应先求出存货所需的空间大小,并考虑货物尺寸及数量、堆码方式、托盘方式、托盘尺寸、货架货位等因素,然后进行区域的空间规划。堆码方式、托盘及货架的关系直接影响到空间的利用。
存储空间利用
1)蜂窝损失
分类堆码时计算面积要考虑蜂窝损失。以图所示的分类堆码为例,图a为一个通道各有一排货物,每排货物有若干列,而每一列堆码四层。
如果在一列货堆上取走一层或几层,只要不被取尽,所产生的空缺不能被别的货物填补,留下的空位有如蜂窝,故名蜂窝形空缺,它影响了库容量的充分利用。
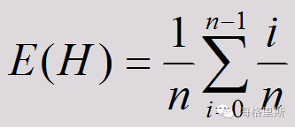
蜂窝损失空缺系数的计算如下。
空缺系数H的期望值为
式中:n — 一列货位堆码货物件数;
i = 0, 1, 2, …。
2)通道损失
通道损失则是由于通道占据了有效的堆放面积,无论分类堆码,还是货架储存,都存在通道损失。若不考虑通道深度方向的情况,通道损失可用下式计算:
La=Wa / (Wa +2d )
式中:Wa — Width of asile,通道宽度,
d — depth,货堆深度。
如下图a,托盘深度为1m,叉车作业通道宽度为3m,则通道损失为 3/5,即60%。可见通道损失之多。
为降低此损失,可以增加货位深度,如图b堆两排,通道损失降到0.429,但此时增加了蜂窝损失。
对于常见的选择式货架来说,堆垛深度最多两排,即双深式货架,此时可配用带伸缩叉的叉车。但出入库和装卸搬运等操作不太方便,需要全面考虑,具体参见后面案例。
通过上述典型计算,在货物不同深度时的通道损失、蜂窝损失及总空间损失见下表。
可见,货堆越深,通道的损失越小,虽然蜂窝形的空缺损失增大,但总的库容量损失有所减少。
平面损失率很大,要提高空间利用率,只有往高度发展和降低通道宽度,这也是高层自动化立体仓库发展的一个原因。
3)充分利用空间的因素
空间的保持。空间的保持包括最大限度地将空间集中和立体空间的利用,以及将蜂窝损失降到最低空间的限制。空间利用受到结构钢架、喷水消防装置、顶棚高度、地面载荷强度(对多层货架特别重要)、立柱以及物料安全堆放高度的限制。
易接近性。过分强调空间利用可能会导致不易接近物料。通道的设计必须足够宽, 以便于物料搬运。而且每一个存储孤岛的接触面都应有能进入的通道。所有主要通道都应是直的,可通向门;通道的方向应能使大多数物料沿存储区的最长轴线存放;且通道应考虑两面作业,不应沿墙设置,除非这面墙有门。
储存策略,即安排货物在仓库储存区域存放位置的方法和原则,它影响仓库存储区的设计。常见储存策略有定位储存、随机储存、分类储存. 根据货物的特性选择储区,大批量选大储区,小批量选小储区,体积大、笨重的储于重型货架并接近发货区;轻量货物储于上层货架;相同或相似的货物尽可能靠近储存等。良好的储存策略可以减少出入库移动距离,缩短作业时间,充分利用储存空间。
仓储区面积计算
仓储规划是生产制造业物流规划过程中最核心的部分,主要包括仓储区规划和功能区规划。而仓储区规划可为生产线持续生产提供保障,并可以消除因生产机械频繁停开工造成的高昂成本。合理的仓储区规划需要精确的仓储区面积计算,并满足总库存数量低、总土地占用量低、物料供应保障性高、物料入库效率高的总要求。物流规划实践平台汇集大量实际案例,为物流规划教学提供详细的案例、数据配套和方法指引,其中包括大量不同案例不同情景中关于仓储面积计算的内容。
图-物流规划实践平台案例情景
物流规划中仓储面积的计算直接影响到生产过程中物料能否及时供给,同时仓储面积的计算还受到有限土地规划和资金预算的制约。因此计算的总目标是保证物料充分供给的前提下,使土地和资金耗用最少。另外不同规划背景对于仓储区面积的计算的也提出了要求,例如:仓储区是基于当期生产还是未来生产所规划,仓储区是新规划还是旧设施改造,仓储区是否预留改造柔性等。因此针对仓储区面积计算的共性与个性问题,本文将计算方法梳理如下。
(1)在仓储区面积计算之前,首先需要《零件规格与仓储容器规划》中得到的零件使用清单(含零件-仓储容器对应表单),以及《物流设施设备的选择》中确定的存储设施设备及相关参数作为计算的初始与假设条件。
图-不同存储设备最大存储量样本散点图
(2)针对每一种零件计算最大储量。最大存储量等于入库时最大入料数与安全库存数之和。其中入料方式可选择按周期入料或按数量盘点入料,如果零件供应商众多,例如汽车制造业则多选用按周期入料的方式;如果供应商距离生产地点较近,且可保持实时的信息沟通,则可以选择按数量盘点入料的方式。订货提前期的计算多由供应商距离与供给运输速度决定。安全库存的计算需先对供应商进行量化评价,而后依据供应商不同确定安全库存。
(3)将最大存储量转换为以装载容器计量的存储量,例如:需要存储810个某零件转换为需要存储4个小号周转箱的某零件。然后对使用同一种装载容器的零件,进行最大存储量求和,结果以装载容器计量。
图-不同存储设备最大堆垛层数对比箱形图
(4)针对可入货架的装载容器,依据所选托盘和货架,依次计算托盘数,货位数,层板数,货架数,然后结合存储设施设备相关参数确定的货架放置宽度、运输通道宽度、拣选通道宽度,并依据库房建设预留地确定货架与通道的长度。最终将货架面积与通道面积求总得到总货架区面积。
(5)针对不可入货架的装载容器,只能选择就地堆放,因此先统计堆垛层数,之后依次计算装载后容器的底面积,容器的地面平铺面积,并预留运输与拣选通道后汇总求出就地堆放区总面积。
图-某仓库仓储区面积比例
通过以上计算可以得到仓储区面积的大小,继而可依据仓储用地的实际情况进行仓储区布置设计。五步的仓储面积计算方法,涵盖了从零件使用清单到最大存储量,再到子仓储区面积,以及最终得到总仓储区面积的全部计算逻辑。但是真实规划中,因为生产企业背景、供应商特征以及物流设施设备选择不同,所以仓储面积计算过程中设施设备基础参数和供应商相关量化数据会有较大的差异。因此仓储区面积的计算要立足于具体规划背景。
图-仓储区面积计算
2025-09-27 11:03
2025-09-16 09:46
2025-09-11 10:50
2025-09-04 22:15
2025-09-03 14:23
2025-08-20 22:14
2025-08-15 10:59
2025-08-06 11:19
2025-08-05 17:08
2025-08-01 23:47
